所有參試蓄電池注入電解液密度為1. 28 g/cm3±0. 01 g/cm3 (25℃),也可以由制造商規定。
電解液液面高度應符合制造商規定,在無規定時,液面高度應高于極板10 mm~15 mm。
蓄電池環境溫度設置:在試驗期間,蓄電池應放置在恒溫水浴槽中,溫度應符合各項試驗要求,其端子應高出水面上方15 mm~25 mm。
如果同一恒溫水浴槽中有多個蓄電池,則蓄電池及槽壁之間距離應不小于25 mm。
蓄電池型號、尺寸、端子尺寸和極性檢驗用精度為1mm的直尺或具有同等以上精度的量具測量蓄電池外形尺寸、端子尺寸。
用目視和反極儀檢查蓄電池的型號、端子極性。
容量試驗:
20小時率容量試驗
蓄電池按5.2.2完全充電結束后1 h~5 h內,并以5.2.4的方法保持在25℃士2℃環境溫度中以J。
(A)電流放電在放電時間內電流值的變化應不大于士2%,放電過程中每隔2 h記錄一次蓄電池電壓;每隔4h記錄一次電池溫度。
當電壓達到10.80 V時,每隔5 min記錄一次蓄電池電壓,當電壓達到10.50 V±0.05V時,停止放電并記錄放電時間和溫度。
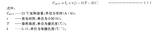
并按式(1)換算到基準溫度25℃時的實際容量:
式中:

儲備容量試驗:蓄電池按5.2.2完全充電結束后1 h~5 h內,并以5.2.4的方法保持在25℃±2℃環境溫度中,以25 A電流放電,在放電時間內電流值的變化應不大于±1%,放電過程中每隔10 min記錄一次蓄電池電壓,當電壓達到11V時每隔l min記錄一次蓄電池電壓,當電壓達到10.50 V士0.05 V時,停止放電并記錄放電時間和溫度。并按式(2)換算到基準溫度25℃時的實際儲備容量:
式中:

20小時率容量與儲備容量關系:
儲備容量與20小時率容量關系按式(3)計算;Cr,n一pcc。